2024-01-01
tidymodelsThe workhorse of economics research is linear regression.
The simplest form of which is, \[ Y = \beta X + \epsilon \]
Given a set of values for \(Y\) and \(X\), we can estimate \(\hat{\beta}\).
R has a built in function for linear models: lm().
Call:
lm(formula = "y ~ x", data = tb)
Coefficients:
(Intercept) x
4.633 4.100
Printing the model returns only a few pieces of information, but there’s much more stored within.
summary() for detailed information
Call:
lm(formula = "y ~ x", data = tb)
Residuals:
Min 1Q Median 3Q Max
-39.971 -14.708 -0.024 13.895 42.721
Coefficients:
Estimate Std. Error t value Pr(>|t|)
(Intercept) 4.633 3.939 1.176 0.242
x 4.100 0.643 6.377 5.97e-09 ***
---
Signif. codes: 0 '***' 0.001 '**' 0.01 '*' 0.05 '.' 0.1 ' ' 1
Residual standard error: 18.85 on 98 degrees of freedom
Multiple R-squared: 0.2932, Adjusted R-squared: 0.286
F-statistic: 40.66 on 1 and 98 DF, p-value: 5.973e-09
lm() modelsList of 12
$ coefficients : Named num [1:2] 4.63 4.1
..- attr(*, "names")= chr [1:2] "(Intercept)" "x"
$ residuals : Named num [1:100] 26.09 -19.69 6.29 5.99 22.93 ...
..- attr(*, "names")= chr [1:100] "1" "2" "3" "4" ...
$ effects : Named num [1:100] -266.88 -120.21 1.64 7.22 24.75 ...
..- attr(*, "names")= chr [1:100] "(Intercept)" "x" "" "" ...
$ rank : int 2
$ fitted.values: Named num [1:100] 14.1 26.5 13 45.3 48.6 ...
..- attr(*, "names")= chr [1:100] "1" "2" "3" "4" ...
$ assign : int [1:2] 0 1
$ qr :List of 5
..$ qr : num [1:100, 1:2] -10 0.1 0.1 0.1 0.1 0.1 0.1 0.1 0.1 0.1 ...
.. ..- attr(*, "dimnames")=List of 2
.. .. ..$ : chr [1:100] "1" "2" "3" "4" ...
.. .. ..$ : chr [1:2] "(Intercept)" "x"
.. ..- attr(*, "assign")= int [1:2] 0 1
..$ qraux: num [1:2] 1.1 1.01
..$ pivot: int [1:2] 1 2
..$ tol : num 1e-07
..$ rank : int 2
..- attr(*, "class")= chr "qr"
$ df.residual : int 98
$ xlevels : Named list()
$ call : language lm(formula = "y ~ x", data = tb)
$ terms :Classes 'terms', 'formula' language y ~ x
.. ..- attr(*, "variables")= language list(y, x)
.. ..- attr(*, "factors")= int [1:2, 1] 0 1
.. .. ..- attr(*, "dimnames")=List of 2
.. .. .. ..$ : chr [1:2] "y" "x"
.. .. .. ..$ : chr "x"
.. ..- attr(*, "term.labels")= chr "x"
.. ..- attr(*, "order")= int 1
.. ..- attr(*, "intercept")= int 1
.. ..- attr(*, "response")= int 1
.. ..- attr(*, ".Environment")=<environment: 0x12aeef150>
.. ..- attr(*, "predvars")= language list(y, x)
.. ..- attr(*, "dataClasses")= Named chr [1:2] "numeric" "numeric"
.. .. ..- attr(*, "names")= chr [1:2] "y" "x"
$ model :'data.frame': 100 obs. of 2 variables:
..$ y: num [1:100] 40.16 6.83 19.29 51.3 71.52 ...
..$ x: num [1:100] 2.3 5.34 2.04 9.92 10.72 ...
..- attr(*, "terms")=Classes 'terms', 'formula' language y ~ x
.. .. ..- attr(*, "variables")= language list(y, x)
.. .. ..- attr(*, "factors")= int [1:2, 1] 0 1
.. .. .. ..- attr(*, "dimnames")=List of 2
.. .. .. .. ..$ : chr [1:2] "y" "x"
.. .. .. .. ..$ : chr "x"
.. .. ..- attr(*, "term.labels")= chr "x"
.. .. ..- attr(*, "order")= int 1
.. .. ..- attr(*, "intercept")= int 1
.. .. ..- attr(*, "response")= int 1
.. .. ..- attr(*, ".Environment")=<environment: 0x12aeef150>
.. .. ..- attr(*, "predvars")= language list(y, x)
.. .. ..- attr(*, "dataClasses")= Named chr [1:2] "numeric" "numeric"
.. .. .. ..- attr(*, "names")= chr [1:2] "y" "x"
- attr(*, "class")= chr "lm"
It’s just a big list!
You can access certain components with m$residuals.
List of 11
$ call : language lm(formula = "y ~ x", data = tb)
$ terms :Classes 'terms', 'formula' language y ~ x
.. ..- attr(*, "variables")= language list(y, x)
.. ..- attr(*, "factors")= int [1:2, 1] 0 1
.. .. ..- attr(*, "dimnames")=List of 2
.. .. .. ..$ : chr [1:2] "y" "x"
.. .. .. ..$ : chr "x"
.. ..- attr(*, "term.labels")= chr "x"
.. ..- attr(*, "order")= int 1
.. ..- attr(*, "intercept")= int 1
.. ..- attr(*, "response")= int 1
.. ..- attr(*, ".Environment")=<environment: 0x12aeef150>
.. ..- attr(*, "predvars")= language list(y, x)
.. ..- attr(*, "dataClasses")= Named chr [1:2] "numeric" "numeric"
.. .. ..- attr(*, "names")= chr [1:2] "y" "x"
$ residuals : Named num [1:100] 26.09 -19.69 6.29 5.99 22.93 ...
..- attr(*, "names")= chr [1:100] "1" "2" "3" "4" ...
$ coefficients : num [1:2, 1:4] 4.633 4.1 3.939 0.643 1.176 ...
..- attr(*, "dimnames")=List of 2
.. ..$ : chr [1:2] "(Intercept)" "x"
.. ..$ : chr [1:4] "Estimate" "Std. Error" "t value" "Pr(>|t|)"
$ aliased : Named logi [1:2] FALSE FALSE
..- attr(*, "names")= chr [1:2] "(Intercept)" "x"
$ sigma : num 18.9
$ df : int [1:3] 2 98 2
$ r.squared : num 0.293
$ adj.r.squared: num 0.286
$ fstatistic : Named num [1:3] 40.7 1 98
..- attr(*, "names")= chr [1:3] "value" "numdf" "dendf"
$ cov.unscaled : num [1:2, 1:2] 0.04366 -0.00626 -0.00626 0.00116
..- attr(*, "dimnames")=List of 2
.. ..$ : chr [1:2] "(Intercept)" "x"
.. ..$ : chr [1:2] "(Intercept)" "x"
- attr(*, "class")= chr "summary.lm"
It can be useful to access specific components with summary(m)$coefficients.
broom is a package that tries to “tidy” model results into data.frames.
Let’s see what it does for our little model:
# A tibble: 2 × 5
term estimate std.error statistic p.value
<chr> <dbl> <dbl> <dbl> <dbl>
1 (Intercept) 4.63 3.94 1.18 0.242
2 x 4.10 0.643 6.38 0.00000000597
Much easier to work with!
The benefit of broom is that its written to create standardized results from many different models from many different packages.
First, we are going to add some random groups to our data.

What if we want to run multiple regressions, one on each group?
One option would be filter the data, then call lm three times.
Or we can set up nested tibbles.
We’ve separated our data into three tibbles, each stored as a row in our parent tibble.
lm on nested tibblesNow we can use this nested format to run all three of our models at once.
# A tibble: 3 × 3
group data model
<chr> <list> <list>
1 A <tibble [29 × 2]> <lm>
2 B <tibble [37 × 2]> <lm>
3 C <tibble [34 × 2]> <lm>
Now we have a column of lm models!
map is a function that takes a list or vector, applies a function to each element, and then returns a list or vector of the results.
In this case we are mapping the column “data”, to the function lm.
Now we can tidy those models so we can contrast all of the results.
# A tibble: 3 × 4
group data model summary
<chr> <list> <list> <list>
1 A <tibble [29 × 2]> <lm> <tibble [2 × 5]>
2 B <tibble [37 × 2]> <lm> <tibble [2 × 5]>
3 C <tibble [34 × 2]> <lm> <tibble [2 × 5]>
We have all of the model summaries now, but we need to unnest the tibble to easily compare them.
ntb |>
unnest(summary) |>
select(-c("data", "model")) |> ## dropping columns to fit on slide
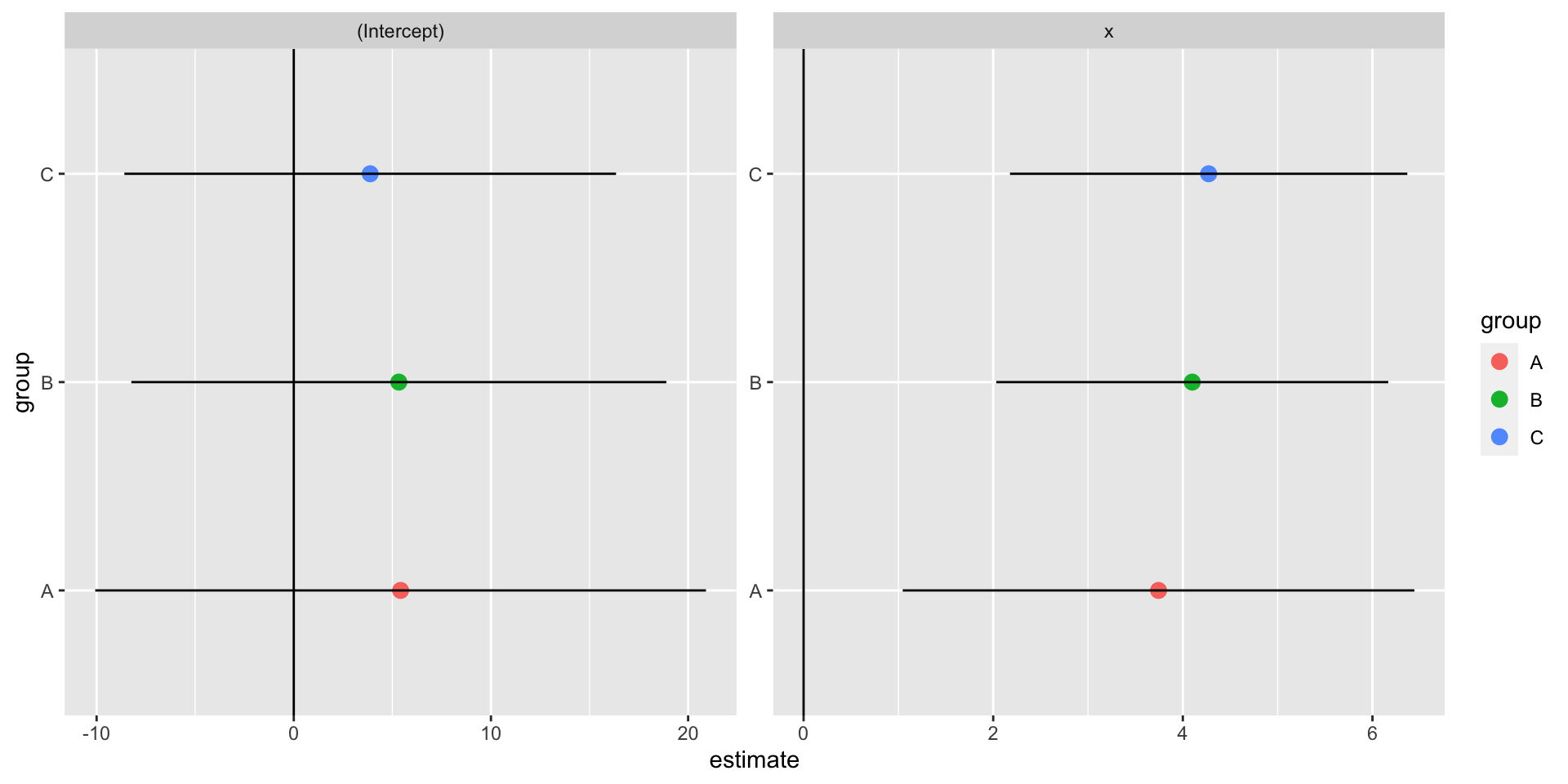
arrange(term)# A tibble: 6 × 6
group term estimate std.error statistic p.value
<chr> <chr> <dbl> <dbl> <dbl> <dbl>
1 A (Intercept) 5.42 7.90 0.686 0.499
2 B (Intercept) 5.33 6.92 0.770 0.447
3 C (Intercept) 3.88 6.36 0.609 0.547
4 A x 3.74 1.38 2.72 0.0113
5 B x 4.10 1.05 3.89 0.000432
6 C x 4.27 1.07 4.00 0.000354
You can see how we can now easily compare our three models \(\beta\) estimate for \(x\).

Pros
tidyverse functionsCons (or concerns)
As you know from econometrics class, you shold pretty much always use robust standard errors when you report results.
There are a couple of packages which support this in R,
estimatrThe package is written to match the syntax of lm().
Same point estimates, slightly different standard errors.
# A tibble: 2 × 5
term estimate std.error statistic p.value
<chr> <dbl> <dbl> <dbl> <dbl>
1 (Intercept) 4.63 3.94 1.18 0.242
2 x 4.10 0.643 6.38 0.00000000597
term estimate std.error statistic p.value conf.low conf.high df
1 (Intercept) 4.633091 4.0673715 1.139087 2.574435e-01 -3.438476 12.70466 98
2 x 4.100106 0.6251976 6.558096 2.574586e-09 2.859422 5.34079 98
outcome
1 y
2 y
estimatr defaults to using “HC2” robust standard errors.
There are options for “HC0”, “HC1”, and “HC3”.
I can’t really tell you the importance of the small differences between these robust options. You can read more about the math for each here.
If you want to match exactly the robust SEs reported in STATA, use “HC1” or “stata”
Fixed effects
Clustering
Panel data has at least two dimensions
This is in contrast to time series (just a time dimension) and cross-sectional data.
We are going to use the package gapminder to get our example panel data.
library(gapminder)
gapminder <- gapminder |> mutate(pop = pop / 1e6, gdpPercap = gdpPercap / 1e3)
gapminder# A tibble: 1,704 × 6
country continent year lifeExp pop gdpPercap
<fct> <fct> <int> <dbl> <dbl> <dbl>
1 Afghanistan Asia 1952 28.8 8.43 0.779
2 Afghanistan Asia 1957 30.3 9.24 0.821
3 Afghanistan Asia 1962 32.0 10.3 0.853
4 Afghanistan Asia 1967 34.0 11.5 0.836
5 Afghanistan Asia 1972 36.1 13.1 0.740
6 Afghanistan Asia 1977 38.4 14.9 0.786
7 Afghanistan Asia 1982 39.9 12.9 0.978
8 Afghanistan Asia 1987 40.8 13.9 0.852
9 Afghanistan Asia 1992 41.7 16.3 0.649
10 Afghanistan Asia 1997 41.8 22.2 0.635
# ℹ 1,694 more rows
fixestLet’s predict life expectancy using GDP per capita.
OLS estimation, Dep. Var.: lifeExp
Observations: 1,704
Standard-errors: IID
Estimate Std. Error t value Pr(>|t|)
(Intercept) 53.955561 0.314995 171.2902 < 2.2e-16 ***
gdpPercap 0.764883 0.025790 29.6577 < 2.2e-16 ***
---
Signif. codes: 0 '***' 0.001 '**' 0.01 '*' 0.05 '.' 0.1 ' ' 1
RMSE: 10.5 Adj. R2: 0.340326
We could easily have estimated this with
lm() orlm_robust()Let’s add fixed effects for each continent.
OLS estimation, Dep. Var.: lifeExp
Observations: 1,704
Fixed-effects: continent: 5
Standard-errors: Clustered (continent)
Estimate Std. Error t value Pr(>|t|)
gdpPercap 0.44527 0.101302 4.39546 0.011733 *
---
Signif. codes: 0 '***' 0.001 '**' 0.01 '*' 0.05 '.' 0.1 ' ' 1
RMSE: 8.37531 Adj. R2: 0.578106
Within R2: 0.174557
Super easy to run!
Notice that it automatically clustered our standard errors to “continent” as well. What if we don’t want that?
We can be explicit about standard errors using the “vcov=” argument.
OLS estimation, Dep. Var.: lifeExp
Observations: 1,704
Fixed-effects: continent: 5
Standard-errors: IID
Estimate Std. Error t value Pr(>|t|)
gdpPercap 0.44527 0.023498 18.9493 < 2.2e-16 ***
---
Signif. codes: 0 '***' 0.001 '**' 0.01 '*' 0.05 '.' 0.1 ' ' 1
RMSE: 8.37531 Adj. R2: 0.578106
Within R2: 0.174557
We can also have clustered standard errors without including fixed effects.
OLS estimation, Dep. Var.: lifeExp
Observations: 1,704
Standard-errors: Clustered (continent)
Estimate Std. Error t value Pr(>|t|)
(Intercept) 53.955561 4.586864 11.76306 0.00029883 ***
gdpPercap 0.764883 0.290197 2.63574 0.05783770 .
---
Signif. codes: 0 '***' 0.001 '**' 0.01 '*' 0.05 '.' 0.1 ' ' 1
RMSE: 10.5 Adj. R2: 0.340326
I want to add another fixed effect, so I’m going to add a new column for countries with big vs. small populations.
We can add multiple fixed effects with the same syntax as adding more regressors.
OLS estimation, Dep. Var.: lifeExp
Observations: 1,704
Fixed-effects: continent: 5, big_small: 2
Standard-errors: Clustered (continent)
Estimate Std. Error t value Pr(>|t|)
gdpPercap 0.453664 0.094069 4.82266 0.0085066 **
---
Signif. codes: 0 '***' 0.001 '**' 0.01 '*' 0.05 '.' 0.1 ' ' 1
RMSE: 8.32322 Adj. R2: 0.583092
Within R2: 0.180956
fixest has a very nice function to print multiple models:
mf mfiid mf2fe
Dependent Var.: lifeExp lifeExp lifeExp
gdpPercap 0.4453* (0.1013) 0.4453*** (0.0235) 0.4537** (0.0941)
Fixed-Effects: ---------------- ------------------ -----------------
continent Yes Yes Yes
big_small No No Yes
_______________ ________________ __________________ _________________
S.E. type by: continent IID by: continent
Observations 1,704 1,704 1,704
R2 0.57934 0.57934 0.58456
Within R2 0.17456 0.17456 0.18096
---
Signif. codes: 0 '***' 0.001 '**' 0.01 '*' 0.05 '.' 0.1 ' ' 1
If you are lucky enough to have an instrument you will want to use it!
We’ll look at how to estimate IV with the fixest package.
But you can also use,
estimatr::iv_robust()
ivreg::ivreg()
fixest syntaxfixest uses a specific syntax for the formula argument:
y ~ ex | fe | en ~ in
y dependent variableex exogenous independent variablesfe fixed effect variablesen endogenous independent variables
in instrumental variablesfixest syntax optionsWe have already seen you can use,
y ~ ex | fe
You can also just use the instrument slot,
y ~ ex | en ~ in
Let’s try an example.
fixestLet’s add “population” as an independent variable and instrument it with the “big_small” variable we constructed. 1
TSLS estimation, Dep. Var.: lifeExp, Endo.: pop, Instr.: big_small
Second stage: Dep. Var.: lifeExp
Observations: 1,704
Standard-errors: IID
Estimate Std. Error t value Pr(>|t|)
(Intercept) 51.643119 0.515593 100.16255 < 2.2e-16 ***
fit_pop 0.073201 0.011262 6.49992 1.053e-10 ***
gdpPercap 0.785063 0.030712 25.56198 < 2.2e-16 ***
---
Signif. codes: 0 '***' 0.001 '**' 0.01 '*' 0.05 '.' 0.1 ' ' 1
RMSE: 12.4 Adj. R2: 0.074081
F-test (1st stage), pop: stat = 115.4, p < 2.2e-16 , on 1 and 1,701 DoF.
Wu-Hausman: stat = 49.4, p = 2.988e-12, on 1 and 1,700 DoF.
And an example of everything at once.
TSLS estimation, Dep. Var.: lifeExp, Endo.: pop, Instr.: big_small
Second stage: Dep. Var.: lifeExp
Observations: 1,704
Fixed-effects: continent: 5
Standard-errors: Clustered (continent)
Estimate Std. Error t value Pr(>|t|)
fit_pop 0.041589 0.029410 1.41410 0.230229
gdpPercap 0.472082 0.082549 5.71882 0.004626 **
---
Signif. codes: 0 '***' 0.001 '**' 0.01 '*' 0.05 '.' 0.1 ' ' 1
RMSE: 9.0883 Adj. R2: 0.502924
Within R2: 0.028035
F-test (1st stage), pop: stat = 85.4, p < 2.2e-16 , on 1 and 1,701 DoF.
Wu-Hausman: stat = 15.9, p = 6.927e-5, on 1 and 1,696 DoF.
There are many options for making regression tables
modelsummarystargazergtsummaryfixest::etable for fixest modelsWe will take a look at the modelsummary package.
First we need to install and load the package.
And then we need to load it.
modelsummary Data SummariesWe can easily get some summary information about any dataset with:
modelsummary Data Summaries| Unique | Missing Pct. | Mean | SD | Min | Median | Max | Histogram | |
|---|---|---|---|---|---|---|---|---|
| mpg | 25 | 0 | 20.1 | 6.0 | 10.4 | 19.2 | 33.9 | ![]() |
| cyl | 3 | 0 | 6.2 | 1.8 | 4.0 | 6.0 | 8.0 | ![]() |
| disp | 27 | 0 | 230.7 | 123.9 | 71.1 | 196.3 | 472.0 | ![]() |
| hp | 22 | 0 | 146.7 | 68.6 | 52.0 | 123.0 | 335.0 | ![]() |
| drat | 22 | 0 | 3.6 | 0.5 | 2.8 | 3.7 | 4.9 | ![]() |
| wt | 29 | 0 | 3.2 | 1.0 | 1.5 | 3.3 | 5.4 | ![]() |
| qsec | 30 | 0 | 17.8 | 1.8 | 14.5 | 17.7 | 22.9 | ![]() |
| vs | 2 | 0 | 0.4 | 0.5 | 0.0 | 0.0 | 1.0 | ![]() |
| am | 2 | 0 | 0.4 | 0.5 | 0.0 | 0.0 | 1.0 | ![]() |
| gear | 3 | 0 | 3.7 | 0.7 | 3.0 | 4.0 | 5.0 | ![]() |
| carb | 6 | 0 | 2.8 | 1.6 | 1.0 | 2.0 | 8.0 | ![]() |
modelsummary Model SummariesTo make regression tables we use
modelsummary Model SummariesAnd we can combine multiple models by passing them as a list.
modelsummary Model SummariesYou can name them as well.
modelsummary(list(`Fixed Effects` = mf, `No Cluster` = mfiid, `Two FE` = mf2fe, `IV` = mall), gof_map = c("nobs", "r.squared"))| Fixed Effects | No Cluster | Two FE | IV | |
|---|---|---|---|---|
| gdpPercap | 0.445 | 0.445 | 0.454 | 0.472 |
| (0.101) | (0.023) | (0.094) | (0.083) | |
| fit_pop | 0.042 | |||
| (0.029) | ||||
| Num.Obs. | 1704 | 1704 | 1704 | 1704 |
| R2 | 0.579 | 0.579 | 0.585 | 0.505 |
modelsummary All Goodness of Fitmodelsummary Output to LaTeX\begin{table}
\centering
\begin{tblr}[ %% tabularray outer open
] %% tabularray outer close
{ %% tabularray inner open
colspec={Q[]Q[]},
column{1}={halign=l,},
column{2}={halign=c,},
hline{6}={1,2}{solid, 0.05em, black},
} %% tabularray inner close
\toprule
& (1) \\ \midrule %% TinyTableHeader
(Intercept) & \num{4.633} \\
& (\num{3.939}) \\
x & \num{4.100} \\
& (\num{0.643}) \\
Num.Obs. & \num{100} \\
R2 & \num{0.293} \\
R2 Adj. & \num{0.286} \\
AIC & \num{875.1} \\
BIC & \num{882.9} \\
Log.Lik. & \num{-434.547} \\
RMSE & \num{18.66} \\
\bottomrule
\end{tblr}
\end{table}
modelsummary Output to LaTeXYou should never be manually writing your LaTeX tables.
Instead, use a package like modelsummary and automate
Sometimes you will want to construct a unique table and have full control over the layout.
Again, there are many possible packages to use:
kableExtra
gt
flextable
DT
We will take a look at the package gt.
First we need to install the package.
And then load it.
gp_summ <-
gapminder |>
filter(year == max(year)) |>
group_by(continent) |>
summarize(pop = sum(pop), gdpPercap = mean(gdpPercap), lifeExp = mean(lifeExp))
gp_summ# A tibble: 5 × 4
continent pop gdpPercap lifeExp
<fct> <dbl> <dbl> <dbl>
1 Africa 930. 3.09 54.8
2 Americas 899. 11.0 73.6
3 Asia 3812. 12.5 70.7
4 Europe 586. 25.1 77.6
5 Oceania 24.5 29.8 80.7
gt will print all of the cells in your data.frame.
gt(gp_summ) |>
tab_row_group(
label = "Western Hemisphere",
rows = 2
) |>
tab_row_group(
label = "Eastern Hemisphere",
rows = c(1, 3:5)
)| continent | pop | gdpPercap | lifeExp |
|---|---|---|---|
| Eastern Hemisphere | |||
| Africa | 929.53969 | 3.089033 | 54.80604 |
| Asia | 3811.95383 | 12.473027 | 70.72848 |
| Europe | 586.09853 | 25.054482 | 77.64860 |
| Oceania | 24.54995 | 29.810188 | 80.71950 |
| Western Hemisphere | |||
| Americas | 898.87118 | 11.003032 | 73.60812 |
| continent | Economic Variables | ||
|---|---|---|---|
| pop | gdpPercap | lifeExp | |
| Africa | 929.53969 | 3.089033 | 54.80604 |
| Americas | 898.87118 | 11.003032 | 73.60812 |
| Asia | 3811.95383 | 12.473027 | 70.72848 |
| Europe | 586.09853 | 25.054482 | 77.64860 |
| Oceania | 24.54995 | 29.810188 | 80.71950 |
gt to LaTeX\begin{longtable}{crrr}
\toprule
continent & pop & gdpPercap & lifeExp \\
\midrule\addlinespace[2.5pt]
Africa & 929.53969 & 3.089033 & 54.80604 \\
Americas & 898.87118 & 11.003032 & 73.60812 \\
Asia & 3811.95383 & 12.473027 & 70.72848 \\
Europe & 586.09853 & 25.054482 & 77.64860 \\
Oceania & 24.54995 & 29.810188 & 80.71950 \\
\bottomrule
\end{longtable}
gt to a filePerhaps even better is saving the table to a “.tex” file.
gt SummaryFrom gt’s documentation.
lm()estimatr::lm_robust()broom::tidy()fixest::feols
modelsummarygt